摒棄深度與生成式特征依賴,突破低特征目標跟蹤難題:中科君達視界研發的基于空間聚類的MOT技術
發布日期:2025/12/3 瀏覽次數:178
1、技術背景
多目標運動跟蹤(Multi-Object Tracking,MOT)是計算機視覺領域的重要研究方向。任務在于連續視頻幀中同時檢測并關聯多個運動目標,輸出每個目標的唯一身份ID及隨時間變化的軌跡,挑戰在于解決“檢測-關聯”的閉環問題。
實際應用中常發生于低特征環境下,如目標同質化、紋理缺失、光照不足、目標遮擋等,MOT方法面臨檢測失效痛點,且無法關聯并重建軌跡。
.png)
為解決痛點,近年來視覺測量工程師們對傳統MOT方法不斷進行優化改進:路徑一基于深度學習特征增強MOT,核心引入深度神經網絡自動提取目標的深度特征,并通過結合長短時記憶網絡模型對目標的運動軌跡和外觀特征進行聯合建模實現多目標跟蹤,優勢在于自動處理大量數據并學習有用特征,可處理部分低特征場景下的多目標跟蹤任務,但模型泛化能力有限,當訓練樣本與實際應用場景存在差異時,無法有效檢測。
路徑二生成式特征增強MOT, 核心引入生成式模型增強檢測目標的視覺特征,如生成與實際目標相似但具有不同視角、光照條件的新圖像,結合生成特征與原始特征,用于后續目標匹配與軌跡關聯。該方法一定程度上解決低特征環境下多目標跟蹤難題,但面臨計算成本高、對生成模型質量敏感以及實時性困局。
2、技術路徑
千眼狼算法工程師們,基于檢測目標的“三維運動連續性”較“二維外觀差異”更具不變性的理論前提,結合高速攝像技術,研發一種“基于空間聚類的低特征場景MOT”技術,通過“幾何重建→時空聚類→物理驗證→軌跡糾錯”四大技術步驟,從數據源頭解決特征缺失,規避“深度學習特征增強MOT”和“生成特征增強MOT”對特征的依賴,且空間聚類和投影操作計算輕量,可保障計算效率與實時性,實現低特征場景下的檢測-關聯完美閉環。
3、關鍵突破
千眼狼圍繞檢測路徑與關聯路徑,實現四大關鍵技術環節突破:
·幾何重建:基于極線約束的雙視角匹配與三維重建,即利用左右高速攝像機的內參與外參計算基礎矩陣F,并通過極線幾何約束篩選匹配點對,最終使用雙目幾何三角化重建得到3D點云,包含噪聲和離群點。
.jpg)
· 時空聚類:追蹤多幀圖像中的三維點位置構建三維軌跡,再按空間一致性與幀時間連續性對三維點進行分簇,合并距離接近、變化趨勢一致的點形成連續軌跡,刪除連續幀中出現次數小于閾值的“短軌跡”,以剔除不穩定或偶然出現的噪聲點,得到初步篩選后的有效三維軌跡集合。
.jpg)
· 物理驗證:將三維軌跡重投影到左右高速攝像機圖像平面,對比左右圖像上的投影軌跡,去除重復匹配的軌跡。
.jpg)
· 軌跡糾錯與重連:通過對軌跡進行三維二次曲線擬合,并計算實際軌跡點到擬合曲線的誤差,標記超出誤差閾值的異常區間,斷開異常軌跡段,再依據軌跡分段的空間位置和時間連續性計算相似度,對滿足條件的軌跡段進行重連并平滑處理,恢復完整連續軌跡。
.jpg)
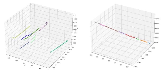
4、案例驗證
在一項針對數百個快速移動黑色小球進行拋落實驗追蹤驗證中,由于黑色小球表面顏色單一缺乏明顯紋理特征,屬于典型低特征場景,通過空間聚類MOT的幾何重建技術,獲取了黑色小球準確的位置信息,利用2D投影剔除一對多誤匹配方法,提高了軌跡的唯一性和準確性,再進一步通過對軌跡進行擬合分析識別并修正錯誤軌跡連接,增強跟蹤結果的穩定性和可靠性。

5、結語
千眼狼“基于空間聚類的MOT技術”通過結合雙視角匹配與三維重建,有效解決了低特征環境下的目標跟蹤難題,利用極線約束篩選匹配點對,通過三維重建獲取準確位置信息,采用空間聚類方法優化軌跡,減少了誤匹配和軌跡斷裂問題,具有較強的抗噪能力和軌跡糾錯機制,顯著提升了跟蹤精度和穩定性。中科君達視界工程師們將通過算法優化提高實時性,進一步提升低特征場景下高速運動目標跟蹤檢測與關聯效率。


